Active vs passive scalar turbulence
A. Celani1, M. Cencini2,
A. Mazzino3,4 and M. Vergassola2
1 CNRS, INLN, 1361 Route des
Lucioles, 06560 Valbonne, France
2 CNRS, Observatoire de la Côte d'Azur,
B.P. 4229, 06304 Nice Cedex 4, France
3 ISAC-CNR, Str. Prov. Lecce-Monteroni Km
1.200, I-73100 Lecce, Italy
4 INFM-Dipartimento di Fisica,
Università di Genova, Via Dodecaneso 33, I-16146 Genova,
Italy
Active and passive scalars transported by an incompressible two-dimensional
conductive fluid are investigated. It is shown that a passive scalar displays a
direct cascade toward the small scales while the active magnetic
potential builds up large-scale structures in an inverse cascade
process. Correlations between scalar input and particle trajectories
are found to be responsible for those dramatic differences as well as for
the behavior of dissipative anomalies.
nlin.CD/0207003
Supplementary Material
- Description of the algorithm [postscript file,
pdf file]
- Fig.5
- Fig.6
- Fig.7
- Fig.8
- Movie [animated gif
(2500Kb), mpeg (192Kb)]
Animation of the backward evolution of the active scalar field (left)
and
of the particle propagator (right). Frames are equispaced by 1
eddy turnover time.
Notice the
strong correlation between the field and the propagator.

Fig.5: Probability densities of scalar fields normalized by their standard deviation:
active scalar
(red curve),
passive scalar (blue curve). The active scalar pdf is
indistiguishable from a Gaussian (dotted curve).
[postscript file]

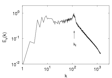
Fig.6. Velocity spectrum Ev(k). Notice that at k < k
f the spectrum is shallower than k-1.
[postscript file]

Fig.7. Probability densities of active
scalar increments
(red curve) and passive scalar
increments
(blue curve) rescaled to their standard deviations, for three
distances in the r=2 lf, 4 lf, 8
lf.
[postscript file]

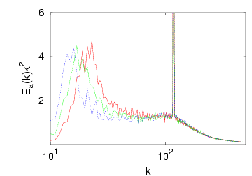
Fig.8. Compensated power spectrum of active scalar
variance, Ea(k)k2, at three different times of its evolution.
Notice the linear scale on the vertical axis.
[postscript file]